| 麥芽糊精 | ||||||||||||||
|
| 參考價格 |
| 編號 | 含量 | 規格 | 包裝 | 價格 | 產地 | 備注 |
| C1305 | DE:10-15 | BR | 500g | 35 | 國產 |
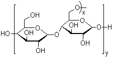
?簡介:麥芽糊精系食用淀粉經酶法或酸法水解后精制而得,是一種新穎低甜度、低熱量、高營養食品藥品輔料,不含游離淀粉的淀粉衍生物,DE值在20%以下。其主要組成為聚合度在10以上的糊精和少量聚合度在10以下的低聚糖。麥芽糊精屬淀粉的低轉化物,其摩爾質量介于淀粉和淀粉糖之間。其原料是含淀粉質的玉米、大米等,也可以是精制淀粉,如玉米淀粉、小麥淀粉、木薯淀粉等。主要成分為糊精并含有多聚糖、四糖或四糖以上的低聚糖,還含少量的麥芽糖和葡萄糖。1970年,Veberbacher對麥芽糊精做出如下定義:以淀粉為原料,經控制水解DE值在20%以下的產品稱為麥芽糊精,以區別淀粉經熱解反應生成的糊精產品。?麥芽糊精的主要性狀和水解率有直接關系,DE值不僅表示水解程度,而且是掌握產品特性的重要指標。
DE值:10-15
pH:4.5~6.5
外觀:白色粉末
溶解性:冷水可溶。
儲存條件:常溫密封保存
用途: 用于生化試劑
其它包裝規格請按需詢價
麥芽糊精 (Malto dextrin)


